МЕТОДИКИ ИЗМЕРЕНИЙ

методики измерений. нанотвердомеры testurion
Динамическое измерение твердости
В приборах семейства «TESTURION» реализован метод динамического измерения твердости, основанный на совместной обработке осциллирующего колебательного движения индентора с информацией о его внедрении в поверхность образца.
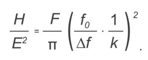
Данный метод в существенно меньшей степени подвержен влиянию неровностей поверхности по сравнению с методами квазистатического вдавливания, однако требует априорной информации о значении модуля упругости. Конечная зависимость, позволяющая производить расчет такого отношения по экспериментальным данным, выглядит следующим образом:

Здесь F и – измеряемые во время сканирования сила и сдвиг резонансной частоты колебаний, f0 и k — резонансная частота свободных колебаний датчика и его динамическая жесткость. Два последних параметра определяются в процессе калибровки каждого датчика и считаются постоянными в процессе дальнейшей работы. Используя данное выражение можно построить зависимость H/E2, (и соответственно, H или E, если хотя бы одна из этих величин известна) как функцию глубины или координат поверхности. Ниже приведены примеры измерения карты твердости для стекловолокна в эпоксидной матрице (Рис. а) и зависимости твердости от глубины для плавленого кварца (Рис. б). В обоих случаях значения модуля упругости были известны из других источников.
а.
б.
Карта твердости стекловолокна в эпоксидной матрице (а); зависимость измеренного значения твердости плавленого кварца от глубины индентирования (б).

НАУЧСПЕЦПРИБОР
ооо «научспецприбор»
Отечественное аналитическое приборостроение
2026 НАУЧСПЕЦПРИБОР
Все права защищены
