МЕТОДИКИ ИЗМЕРЕНИЙ

Отпечаток в стандартный образец меры твёрдости. Нагрузка 2 кг. Твёрдость 475 HV 2.
методики измерений. нанотвердомеры testurion
Измерение микротвердости по Виккерсу
Нанотвердомеры и микротвердомеры серии «TESTURION» позволяют проводить измерение микротвёрдости по восстановленному отпечатку в соответствии с ГОСТ Р ИСО 6507-1-2007. Аналогичный метод используется в классических микротвердомерах.
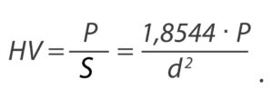
В качестве наконечника используется четырёхгранная пирамида типа Виккерса (угол между противолежащими гранями 136°). Измерения производятся по оптическим микрофотографиям. Твёрдость HV рассчитывается, как отношение максимальной приложенной к индентору нагрузки к условной площади боковой поверхности восстановленного отпечатка, измеренной по его изображению:

d — средняя длина диагоналей четырёхугольного отпечатка, в миллиметрах,
P — максимальная нагрузка в килограмм-силах,
S — условная площадь боковой поверхности полученного отпечатка.
Твёрдость по шкале Виккерса является одним из наиболее распространённых и давно применяемых в мире методов определения твёрдости. Его использование в комбинации с методами измерения нанотвёрдости позволяет проводить прямое сравнение и привязку значений твёрдости на разных масштабных уровнях.

НАУЧСПЕЦПРИБОР
ооо «научспецприбор»
Отечественное аналитическое приборостроение
2026 НАУЧСПЕЦПРИБОР
Все права защищены
